jeungki

Disini kami mengukur panjang dan lebar dari sebuah area jengki penumbuk padi di anjungan Aceh. Berikut soalnya:

Luas sebidang tanah jengki penumbuk padi di anjumgan Aceh berbentuk yang persegi panjang adalah 12,3 m2 Panjang tanah 110 cm lebih panjang dari lebarnya. Berapa meter kah panjang dan lebar sebidang tanah tersebut?

Berikut sketsa bidangnya:

Berikut cara penyelesaiannya:

jeungki

Disini kita mendapatkan persamaan kuadratnya seperti pada gambar.

Lanjut kita akan menghitung menggunakan tiga metode:

jeungki

Menggunakan Metode Pemfaktoran

jeungki

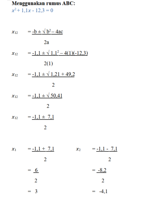
Menggunakan Metode Rumus ABC

jeungki

Menggunakan Metode Melengkapkan Kuadrat Sempurna

Kesimpulan

Karena ukuran panjang pada sebidang tanah itu tidak pernah negatif, maka nilai 𝑥 yang memengaruhi adalah 𝑥 = 3